Задать свой вопрос   *более 50 000 пользователей получили ответ на «Решим всё»

Задача 46134 (0,2)^(x+3) = (1/5)(0,04)^(x) [л5]...

Условие

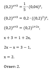
(0,2)^(x+3) = (1/5)(0,04)^(x) [л5]

математика 10-11 класс 907

Решение

[m]0,2=\frac{1}{5}[/m]

[m]0,04=\frac{4}{100}=\frac{1}{25}=(\frac{1}{5})^2[/m]

Уравнение принимает вид:

([m]\frac{1}{5})^{x+3}=\frac{1}{5}\cdot ((\frac{1}{5})^{2})^{x}[/m]

[m](\frac{1}{5})^{x+3}=\frac{1}{5}\cdot (\frac{1}{5})^{2\cdot x}[/m]

[m](\frac{1}{5})^{x+3}=(\frac{1}{5})^{1+2\cdot x}[/m]

[m]x+3=1+2\cdot x[/m]

[m]x-2x=1-3[/m]

[m]-x=-2[/m]

[m]x=2[/m]

О т в е т. [m]2[/m]

Все решения

Написать комментарий

Меню

Присоединяйся в ВК