Задать свой вопрос
*более 50 000 пользователей получили ответ на «Решим всё»
Задача 46128
...
Условие
biter
2020-04-06 12:01:21
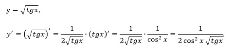
Найти производную,если y=f(x).
y = √tgx;
математика
535
Решение
u821511235
2020-04-06 12:36:22
★
Написать комментарий
Меню
Решим всё
Найти задачу
Категории
Статьи
Тесты
Архив задач
Присоединяйся в ВК