Задать свой вопрос   *более 50 000 пользователей получили ответ на «Решим всё»

Задача 46124 ...

Условие

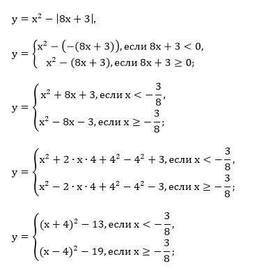
Построить график:
y=x^2 −|8x+3|.
Определите, при каких значениях m прямая y=m имеет с графиком ровно три общие точки.

математика 8-9 класс 5057

Все решения

Написать комментарий

Меню

Присоединяйся в ВК