Задать свой вопрос   *более 50 000 пользователей получили ответ на «Решим всё»

Задача 46101 Последовательности заданы формулой n-го...

Условие

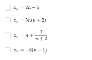
Последовательности заданы формулой n-го члена.

Отметьте те из них, которые являются арифметическими прогрессиями.

математика 8-9 класс 2488

Все решения

Написать комментарий

Меню

Присоединяйся в ВК