Задать свой вопрос
*более 50 000 пользователей получили ответ на «Решим всё»
Задача 46040
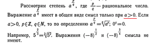
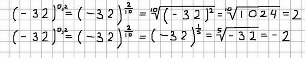
Чему равно [b](-32)^(2)[/b]?...
Условие
xopouuo
2020-04-05 19:12:44
Чему равно [b](-32)^(2)[/b]?
математика 10-11 класс
552
Решение
sova
2020-04-05 19:19:33
★
Написать комментарий
Меню
Решим всё
Найти задачу
Категории
Статьи
Тесты
Архив задач
Присоединяйся в ВК