Задать свой вопрос   *более 50 000 пользователей получили ответ на «Решим всё»

Задача 45975 Дано точки А(1;0;0), B(x;0;2), C(1;2;2)....

Условие

Дано точки А(1;0;0), B(x;0;2), C(1;2;2). При яких значеннях x трикутник ABC є рівностороннім?

математика 10-11 класс 1364

Решение

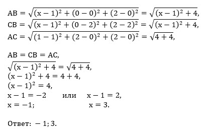
По формуле расстояния между двумя точками:

AB=sqrt((x_(B)-x_(A))^2+(y_(B)-y(A))^2+(z_(B)-z_(A))^2)


AC=sqrt((1-1)^2+(2-0)^2+(2-0)^2)=sqrt(4+4)=sqrt(8)
AB=sqrt((x-1)^2+(0-0)^2+(2-0)^2)=sqrt((x-1)^2+4)

АВ=АС

sqrt((x-1)^2+4)=sqrt(8)

Возводим в квадрат

(x-1)^2+4=8

(х-1)^2=8-4

(х-1)^2=4

x-1=2 или x-1=-2

x=3 или x=-1

Все решения

Написать комментарий

Категория

Меню

Присоединяйся в ВК