Задать свой вопрос
*более 50 000 пользователей получили ответ на «Решим всё»
Задача 45974
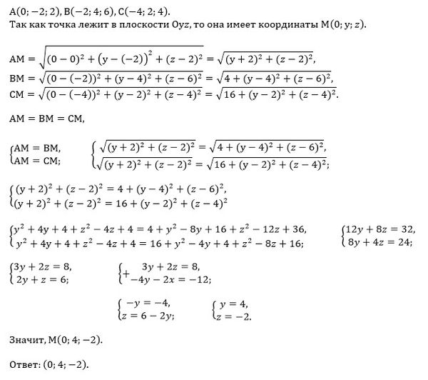
На координатній площині Oyz знайдіть...
Условие
marinichvika15
2020-04-04 14:39:53
На координатній площині Oyz знайдіть точку, рівновіддалену від точок (0;-2;2), (-2;4;6) і (-4;2;4).
математика 10-11 класс
1960
Решение
u821511235
2020-04-04 18:35:34
★
Написать комментарий
Меню
Решим всё
Найти задачу
Категории
Статьи
Тесты
Архив задач
Присоединяйся в ВК