

[i]Замена переменной[/i]:
x-1,5=t
x=t+1,5
dx=dt
3x+2=3*(t+1,5)+2=3t+6,5
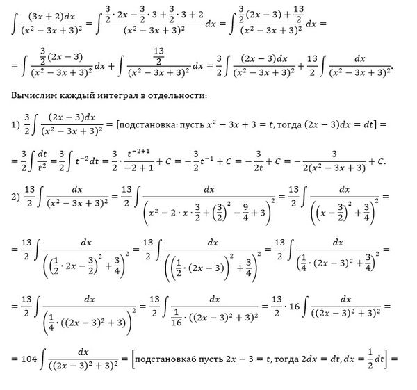
[m]∫ \frac{(3x+2)dx}{(x^2–3x+3)^2}= ∫ \frac{(3t+6,5)dt}{(t^2+0,75)^2}=[/m]
[m]=3 ∫ \frac{tdt}{(t^2+0,75)^2}+6,5 ∫ \frac{dt}{(t^2+0,75)^2}[/m]
Считаем [i]первый [/i]интеграл:
[m]∫\frac{ tdt}{(t^2+0,75)^2}=\frac{1}{2}\cdot ∫ \frac{2tdt}{(t^2+0,75)^2}=
= \frac{1}{2}\cdot ∫ \frac {d(t^2+0,75)}{(t^2+0,75)}=[/m]
по формуле:
[r] ∫ du/u^2= ∫ u^(-2)du=u^(-1)/(-1)=-1/u[/r]
получаем:
=[m]\frac{1}{2}\cdot (-\frac{1}{t^2+0,75})[/m]
Cчитаем [i]второй [/i] интеграл :
[m]∫ \frac{dt}{(t^2+0,75)^2}[/m]
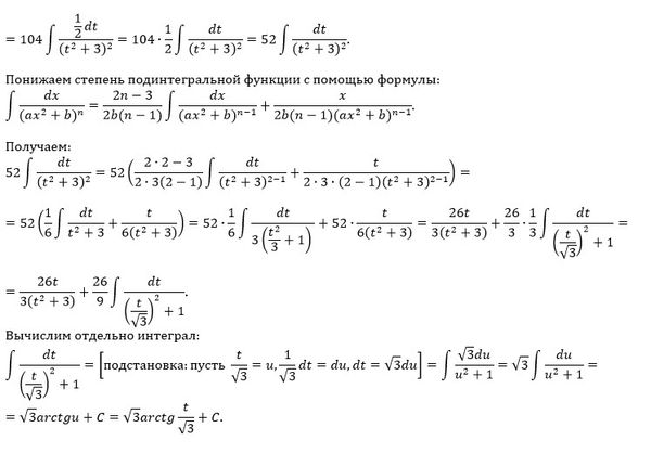
[red]по рекуррентной формуле[/red] ( см приложение)
для n=2; a^2=0,75=[m]\frac{3}{4}[/m]
[m]a=\frac{\sqrt{3}}{2}[/m]
[m]I_{2}= ∫ \frac{dt}{(t^2+0,75)^2}=\frac{1}{0,75}(\frac{2\cdot2-3}{2\cdot2-2}\cdot I_{1}+\frac{t}{2\cdot(2-1)\cdot(t^2+0,75)^{2-1}})=[/m]
[m]=\frac{1}{0,75}(\frac{1}{2}\cdot I_{1}+\frac{t}{2\cdot(t^2+0,75)})[/m]
[m]I_{1}=\int \frac{dt}{t^2+0,75}=\frac{1}{\frac{\sqrt{3}}{2}}arctg \frac{t}{\frac{\sqrt{3}}{2}}=\frac{2}{\sqrt{3}}arctg\frac{2t}{\sqrt{3}} [/m]
Тогда [i]решение задачи[/i] запишем так:
[m]∫ \frac{(3x+2)dx}{(x^2–3x+3)^2}= ∫ \frac{(3t+6,5)dt}{(t^2+0,75)^2}=[/m]
[m]=3 ∫ \frac{tdt}{(t^2+0,75)^2}+6,5 ∫ \frac{dt}{(t^2+0,75)^2}[/m]
[m]=3 ∫ \frac{tdt}{(t^2+0,75)^2}+6,5\frac{1}{0,75}(\frac{1}{2}\cdot\int \frac{dt}{t^2+0,75}+\frac{t}{2\cdot(t^2+0,75)}) [/m]
[m]=\frac{3}{2} \cdot \int \frac{2t}{(t^2+0,75)^2}dt+6,5\cdot \frac{1}{2\cdot 0,75}\cdot( \int \frac{dt}{t^2+0,75}+\frac{t}{t^2+0,75})=[/m]
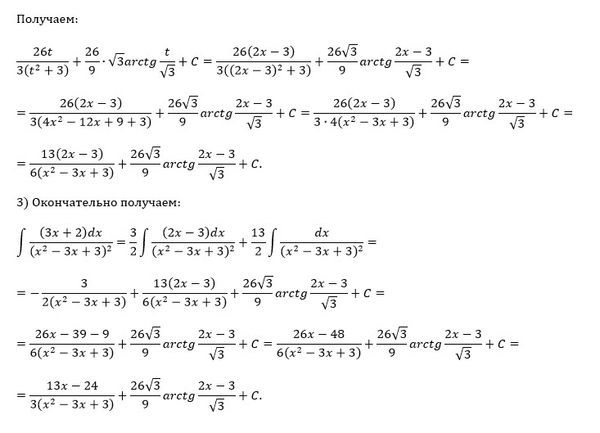
[m]=-\frac{3}{2} \cdot \frac{1}{t^2+0,75}+ \frac{13}{3}\cdot \frac{2\sqrt{3}}{3}arctg\frac{2t}{\sqrt{3}}+ \frac{13}{3}\cdot \frac{t}{t^2+0,75}+C=[/m]
[m]=\frac{1}{t^2+0,75}\cdot (-\frac{3}{2}+\frac{13}{3}t)+\frac{26\sqrt{3}}{9}arctg\frac{2t}{\sqrt{3}}+C=[/m]
[m]=\frac{26t-9}{6(t^2+0,75)}+\frac{26\sqrt{3}}{9}arctg\frac{2t}{\sqrt{3}}+C=[/m]
[b]t=x-1,5[/b]
[m]=\frac{26(x-1,5)-9}{6(x^2-3x+3)}+\frac{26\sqrt{3}}{9}arctg\frac{2(x-1,5)}{\sqrt{3}}+C=[/m]
[m]=\frac{26x-48}{6(x^2-3x+3)}+\frac{26\sqrt{3}}{9}arctg\frac{2x-3}{\sqrt{3}}+C=[/m]
[m]=\frac{13x-24}{3(x^2-3x+3)}+\frac{26\sqrt{3}}{9}arctg\frac{2x-3}{\sqrt{3}}+C=[/m]