Задать свой вопрос   *более 50 000 пользователей получили ответ на «Решим всё»

Задача 45915 ...

Условие

найти интеграл: ∫ dx / sin x

математика ВУЗ 572

Решение

[m]sinx=2sin\frac{x}{2}cos\frac{x}{2}[/m]
и
[m]1=sin^2\frac{x}{2}+cos^2\frac{x}{2}[/m]

Тогда
[m]\int \frac{1}{sinx}dx=\int \frac{sin^2\frac{x}{2}+cos^2\frac{x}{2}}{2sin\frac{x}{2}cos\frac{x}{2}}=[/m]

[m]=\int \frac{sin^2\frac{x}{2}}{2sin\frac{x}{2}cos\frac{x}{2}}+\int \frac{cos^2\frac{x}{2}}{2sin\frac{x}{2}cos\frac{x}{2}}=[/m]

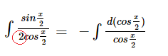
[m]=\int \frac{sin\frac{x}{2}}{2cos\frac{x}{2}}+\int \frac{cos\frac{x}{2}}{2sin\frac{x}{2}}=[/m]

[m]=-\int \frac{d(cos\frac{x}{2})}{cos\frac{x}{2}}+\int \frac{d(sin\frac{x}{2})}{2sin\frac{x}{2}}=[/m]

[m]=-ln|cos\frac{x}{2}|+ln|sin\frac{x}{2}|+C=ln|tg\frac{x}{2}|+C[/m]

так как

[m]d(sin\frac{x}{2})=(sin\frac{x}{2})`dx=cos\frac{x}{2} \cdot (\frac{x}{2})`dx=\frac{1}{2}\cdot cos\frac{x}{2}[/m]

[m]d(cos \frac{x}{2})=(cos \frac{x}{2})`dx=(-sin\frac{x}{2}) \cdot (\frac{x}{2})`dx=\frac{1}{2}\cdot(-sin\frac{x}{2})[/m]


Написать комментарий

Меню

Присоединяйся в ВК