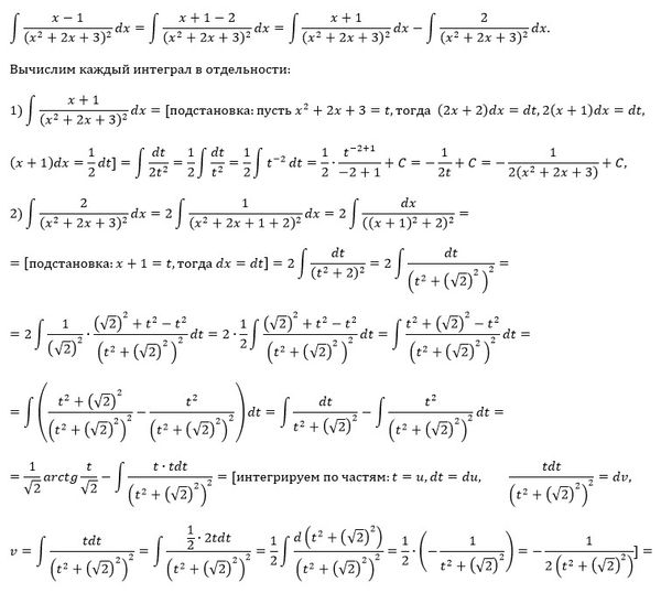
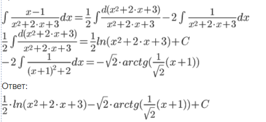
∫ (x - 1) / (x^2 + 2x + 3)^2 dx

[m]\int \frac{x-1}{((x+1)^2+2)^2}dx[/m]
[i]Замена переменной[/i]:
[m]x+1=t[/m]
[m]x=t-1[/m]
[m]dx=dt[/m]
=[m]\int \frac{t-2}{(t^2+2)^2}dt=\int \frac{t}{(t^2+2)^2}dt-\int \frac{2}{(t^2+2)^2}dt=[/m]
Первый интеграл по формуле:
[m]\int \frac{du}{u^2}=-\frac{1}{u}[/m]
второй по рекуррентной формуле при [m]n=2[/m](cм приложение):
учитываем, что [m]a^2=2[/m]
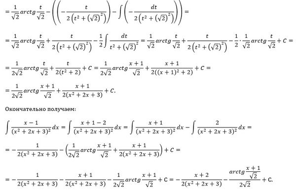
[m]I_{2}=\frac{1}{2}(\frac{2\cdot2-3}{2\cdot2-2}\cdot I_{1}+\frac{t}{2\cdot(2-1)\cdot(t^2+2)^{2-1}})=\frac{1}{2}(\frac{1}{2}\cdot I_{1}+\frac{t}{2\cdot(t^2+2)})[/m]
[m]I_{1}=\int \frac{dt}{t^2+a^2}=\frac{1}{a}arctg \frac{t}{a} [/m]
получаем:
[m]\int \frac{t}{(t^2+2)^2}dt-\int \frac{2}{(t^2+2)^2}dt=[/m]
[m]=\frac{1}{2} \cdot \int \frac{2t}{(t^2+2)^2}dt-2\cdot \frac{1}{2}\cdot (\frac{1}{2}\cdot \int \frac{dt}{t^2+a^2}+\frac{t}{2(t^2+2)})=[/m]
[m]=\frac{1}{2} \cdot (-\frac{1}{t^2+2}) -\frac{1}{2}\cdot \frac{1}{\sqrt{2}}arctg\frac{t}{\sqrt{2}}-\frac{t}{2(t^2+2)}+C[/m]
упрощаем:
[m]=-\frac{t+1}{2(t^2+2)} -\frac{1}{2}\cdot \frac{1}{\sqrt{2}}arctg\frac{t}{\sqrt{2}}+C[/m].
где
[m] t=x+1,[/m]
[m] t^2+2=x^2+2x+3[/m]
О т в е т.[m] -\frac{x+2}{2(x^2+2x+3)} -\frac{1}{2\sqrt{2}}arctg\frac{x+1}{\sqrt{2}}+C[/m].