Задать свой вопрос   *более 50 000 пользователей получили ответ на «Решим всё»

Задача 45826 Помогите решить ... Для каждой пары...

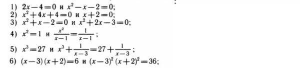
Условие

Помогите решить ... Для каждой пары уравнений выясните, является ли одно из них следствием другого.Предлагается форма ответа:(да,да),(да,нет) и т.п.

математика 1245

Решение

Если каждый корень уравнения (1) является и корнем уравнения (2), то уравнение 2 следствие уравнения 1

1)(нет; [b]да[/b])
x=2 - корень уравнения (1) одновременно и корень уравнения (2)
значит (2) -[b] следствие[/b] (1)
уравнение (2) имеет два корня, но только один из них является корнем уравнения (1)

Поэтому (1) [b]не [/b]является следствием (2)

Остальные также, не списывайте, вникайте.
Может где и не так.
2)(да;да)
3)(нет;нет)
4) (да; нет)
5) (да; нет)
6)(да;да)

Написать комментарий

Меню

Присоединяйся в ВК