Задать свой вопрос
*более 50 000 пользователей получили ответ на «Решим всё»
Задача 45811
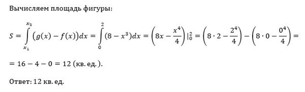
Площадь между y = x^3, y = 8, x = 0...
Условие
vk280770680
2020-04-02 10:36:33
Площадь между y = x^3, y = 8, x = 0
предмет не задан
609
Решение
u821511235
2020-04-02 10:37:28
★
Написать комментарий
Меню
Решим всё
Найти задачу
Категории
Статьи
Тесты
Архив задач
Присоединяйся в ВК