Задать свой вопрос
*более 50 000 пользователей получили ответ на «Решим всё»
Задача 45809
Найти площадь фигуры, ограниченной...
Условие
vk280770680
2020-04-02 10:33:53
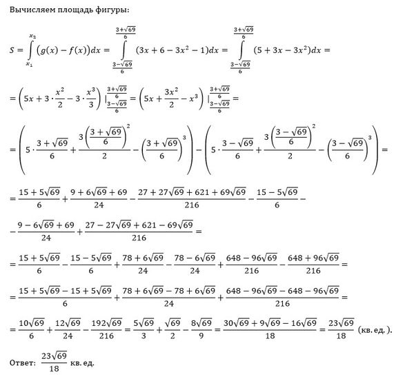
Найти площадь фигуры, ограниченной линиями y=3x^2+1, y=3x+6
предмет не задан
731
Решение
u821511235
2020-04-02 12:16:21
★
Написать комментарий
Меню
Решим всё
Найти задачу
Категории
Статьи
Тесты
Архив задач
Присоединяйся в ВК