Задать свой вопрос
*более 50 000 пользователей получили ответ на «Решим всё»
Задача 45807
...
Условие
vk280770680
2020-04-02 10:32:55
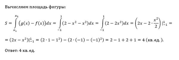
Найти площадь фигуры, ограниченной линиями y = x² , y = 2 - x²
предмет не задан
935
Решение
u821511235
2020-04-02 11:18:33
★
Написать комментарий
Меню
Решим всё
Найти задачу
Категории
Статьи
Тесты
Архив задач
Присоединяйся в ВК