Задать свой вопрос
*более 50 000 пользователей получили ответ на «Решим всё»
Задача 45806
Найти площадь фигуры, ограниченной...
Условие
vk280770680
2020-04-02 10:32:11
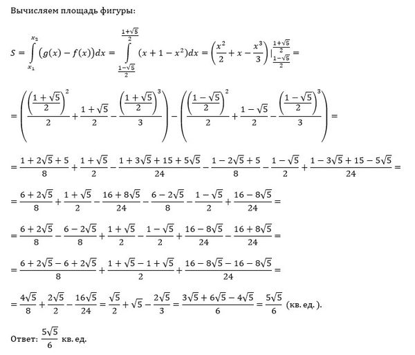
Найти площадь фигуры, ограниченной линиями y = x^2, y = x + 1
предмет не задан
794
Решение
u821511235
2020-04-02 11:04:56
★
Написать комментарий
Меню
Решим всё
Найти задачу
Категории
Статьи
Тесты
Архив задач
Присоединяйся в ВК