Задать свой вопрос
*более 50 000 пользователей получили ответ на «Решим всё»
Задача 45801
Помогите решить 1-е и второе и...
Условие
vk492803606
2020-04-02 08:41:19
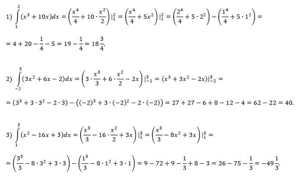
Помогите решить 1-е и второе и третье
предмет не задан
578
Решение
u821511235
2020-04-02 09:53:21
★
Написать комментарий
Меню
Решим всё
Найти задачу
Категории
Статьи
Тесты
Архив задач
Присоединяйся в ВК