Задать свой вопрос
*более 50 000 пользователей получили ответ на «Решим всё»
Задача 45800
Помогите решить 5-е и 6-е ...
Условие
vk492803606
2020-04-02 08:14:19
Помогите решить 5-е и 6-е
предмет не задан
630
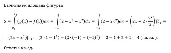
Решение
u821511235
2020-04-02 13:08:42
★
Написать комментарий
Меню
Решим всё
Найти задачу
Категории
Статьи
Тесты
Архив задач
Присоединяйся в ВК