Задать свой вопрос
*более 50 000 пользователей получили ответ на «Решим всё»
Задача 45796
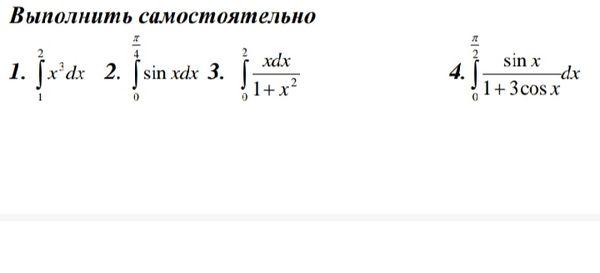
Помогите пожалуйста решить...
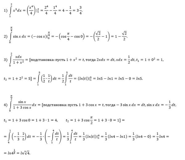
Условие
vk44971277
2020-04-02 02:05:52
Помогите пожалуйста решить
математика ВУЗ
567
Решение
u821511235
2020-04-02 08:56:28
★
Написать комментарий
Меню
Решим всё
Найти задачу
Категории
Статьи
Тесты
Архив задач
Присоединяйся в ВК