Задать свой вопрос
*более 50 000 пользователей получили ответ на «Решим всё»
Задача 45789
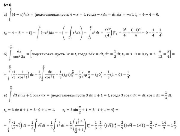
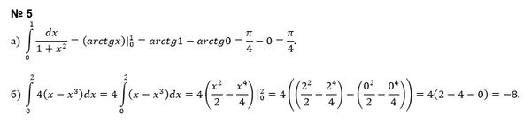
Помогите решить 5-е и 6-е задание ...
Условие
vk280770680
2020-04-01 20:58:54
Помогите решить 5-е и 6-е задание
предмет не задан
646
Решение
u821511235
2020-04-02 08:36:16
★
Написать комментарий
Меню
Решим всё
Найти задачу
Категории
Статьи
Тесты
Архив задач
Присоединяйся в ВК