Задать свой вопрос
*более 50 000 пользователей получили ответ на «Решим всё»
Задача 45788
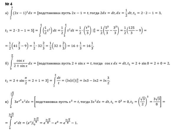
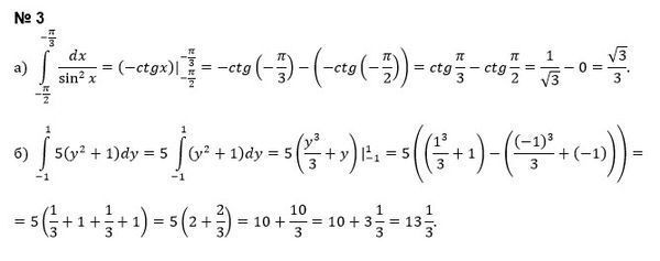
Помогите решить 3-е и 4-е задание ...
Условие
vk280770680
2020-04-01 20:56:03
Помогите решить 3-е и 4-е задание
предмет не задан
684
Решение
u821511235
2020-04-02 08:04:18
★
Написать комментарий
Меню
Решим всё
Найти задачу
Категории
Статьи
Тесты
Архив задач
Присоединяйся в ВК