Задать свой вопрос
*более 50 000 пользователей получили ответ на «Решим всё»
Задача 45787
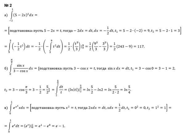
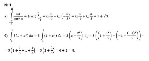
Помогите решить 1 и 2 ...
Условие
vk280770680
2020-04-01 20:55:25
Помогите решить 1 и 2
предмет не задан
577
Решение
u821511235
2020-04-02 07:30:07
★
Написать комментарий
Меню
Решим всё
Найти задачу
Категории
Статьи
Тесты
Архив задач
Присоединяйся в ВК