Задать свой вопрос
*более 50 000 пользователей получили ответ на «Решим всё»
Задача 45733
...
Условие
vk492803606
2020-04-01 07:39:27
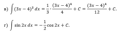
B) ∫(3x-4)³
D) ∫sin 2x dx
предмет не задан
566
Решение
u821511235
2020-04-01 08:01:30
★
Написать комментарий
Меню
Решим всё
Найти задачу
Категории
Статьи
Тесты
Архив задач
Присоединяйся в ВК