Задать свой вопрос
*более 50 000 пользователей получили ответ на «Решим всё»
Задача 45731
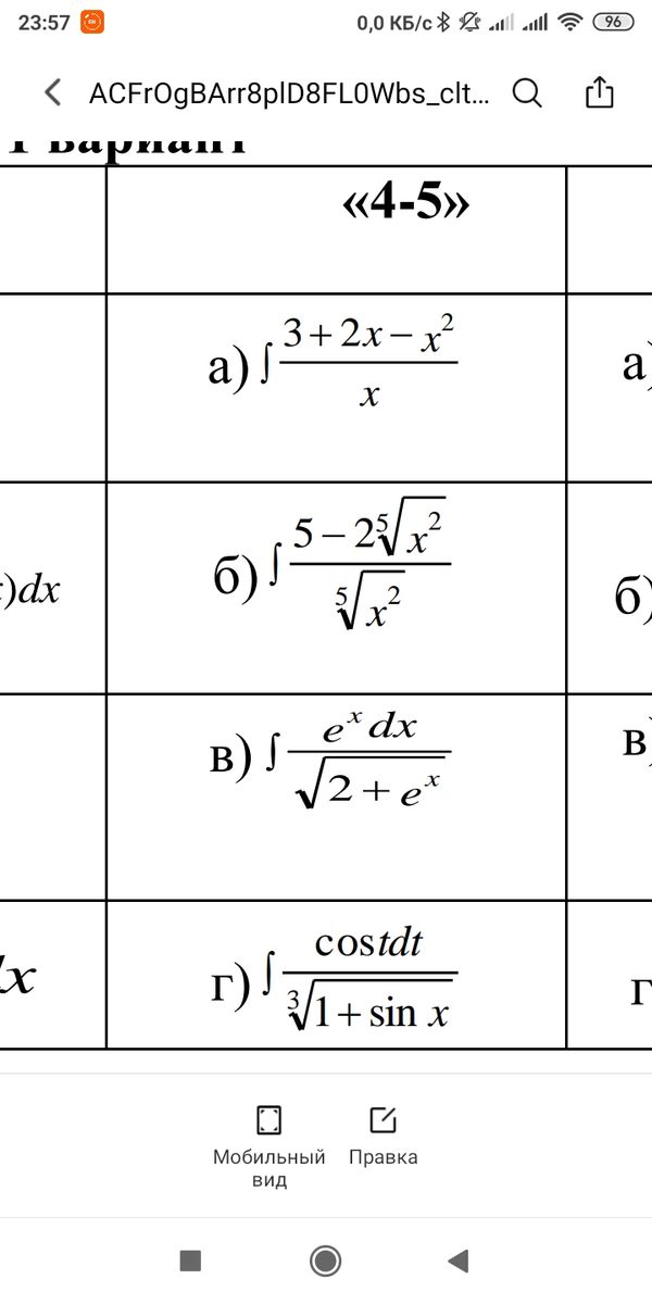
Очень надо помогите пожалуйста решить...
Условие
vk44971277
2020-04-01 00:11:38
Очень надо помогите пожалуйста решить
математика ВУЗ
549
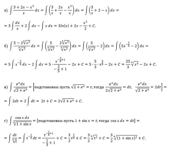
Решение
u821511235
2020-04-01 07:26:01
★
Написать комментарий
Меню
Решим всё
Найти задачу
Категории
Статьи
Тесты
Архив задач
Присоединяйся в ВК