Задать свой вопрос
*более 50 000 пользователей получили ответ на «Решим всё»
Задача 45728
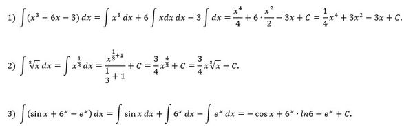
Помогите пожалуйста решить...
Условие
vk44971277
2020-03-31 23:39:55
Помогите пожалуйста решить
математика ВУЗ
550
Решение
u821511235
2020-04-01 06:50:50
★
Написать комментарий
Меню
Решим всё
Найти задачу
Категории
Статьи
Тесты
Архив задач
Присоединяйся в ВК