Задать свой вопрос
*более 50 000 пользователей получили ответ на «Решим всё»
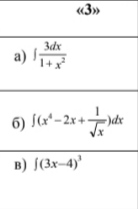
Задача 45721
Помогите решить Срочно надо...
Условие
vk267309506
2020-03-31 20:54:09
Помогите решить
Срочно надо
математика ВУЗ
608
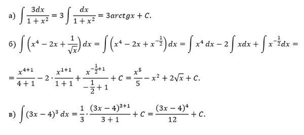
Все решения
u821511235
2020-03-31 21:55:56
Написать комментарий
Меню
Решим всё
Найти задачу
Категории
Статьи
Тесты
Архив задач
Присоединяйся в ВК