Задать свой вопрос
*более 50 000 пользователей получили ответ на «Решим всё»
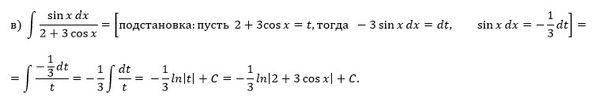
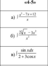
Задача 45720
Помогите пожалуйста решить!!!...
Условие
vk267309506
2020-03-31 20:53:25
Помогите пожалуйста решить!!!
математика ВУЗ
584
Все решения
u821511235
2020-03-31 22:54:37
Написать комментарий
Меню
Решим всё
Найти задачу
Категории
Статьи
Тесты
Архив задач
Присоединяйся в ВК