Задать свой вопрос
*более 50 000 пользователей получили ответ на «Решим всё»
Задача 45715
...
Условие
vk306899767
2020-03-31 19:24:48
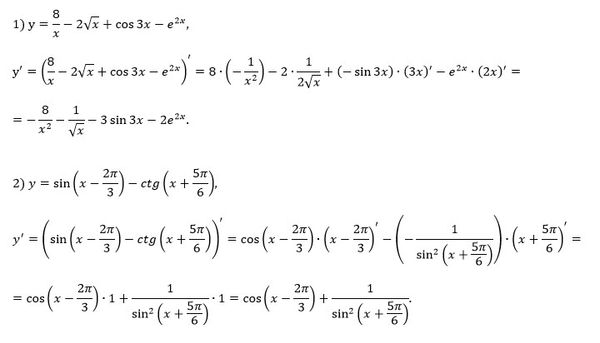
Найти производные
1) y = 8/x - 2√x + cos 3x - ℓ²ˣ
2) y = sin(x - 2π/3) - ctg(x + 5π/6)
математика 10-11 класс
474
Решение
u821511235
2020-03-31 22:09:15
★
Написать комментарий
Меню
Решим всё
Найти задачу
Категории
Статьи
Тесты
Архив задач
Присоединяйся в ВК