Задать свой вопрос
*более 50 000 пользователей получили ответ на «Решим всё»
Задача 45695
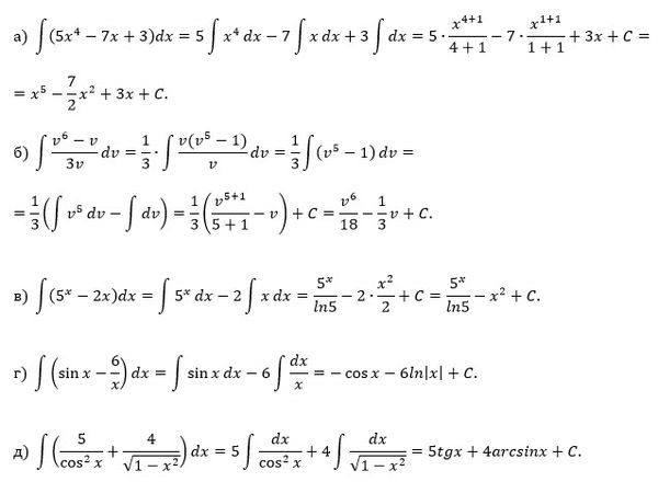
помогите решить задания...
Условие
vk280770680
2020-03-31 14:07:04
помогите решить задания
предмет не задан
623
Решение
u821511235
2020-03-31 22:30:32
★
Написать комментарий
Меню
Решим всё
Найти задачу
Категории
Статьи
Тесты
Архив задач
Присоединяйся в ВК