Задать свой вопрос
*более 50 000 пользователей получили ответ на «Решим всё»
Задача 45693
...
Условие
vk492803606
2020-03-31 13:57:05
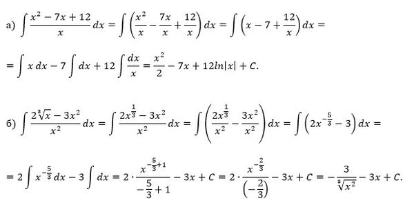
a) ∫(x^2 - 7x + 12) / x
b) ∫(2 * ∛x - 3x^2) / x^2
предмет не задан
623
Решение
u821511235
2020-03-31 17:11:01
★
Написать комментарий
Меню
Решим всё
Найти задачу
Категории
Статьи
Тесты
Архив задач
Присоединяйся в ВК