Задать свой вопрос
*более 50 000 пользователей получили ответ на «Решим всё»
Задача 45689
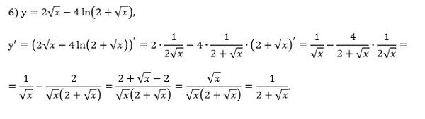
Помогите решить найдите производную...
Условие
vk492803606
2020-03-31 13:50:03
Помогите решить найдите производную функции
предмет не задан
466
Решение
u821511235
2020-03-31 14:12:23
★
Написать комментарий
Меню
Решим всё
Найти задачу
Категории
Статьи
Тесты
Архив задач
Присоединяйся в ВК