Задать свой вопрос
*более 50 000 пользователей получили ответ на «Решим всё»
Задача 45688
Помогите решить найдите производную...
Условие
vk492803606
2020-03-31 13:48:32
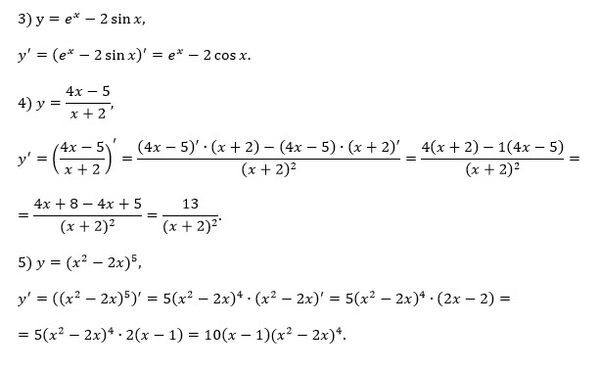
Помогите решить найдите производную функции номер 3 и 4 и 5
предмет не задан
540
Решение
u821511235
2020-03-31 13:58:00
★
Написать комментарий
Меню
Решим всё
Найти задачу
Категории
Статьи
Тесты
Архив задач
Присоединяйся в ВК