Задать свой вопрос
*более 50 000 пользователей получили ответ на «Решим всё»
Задача 45657
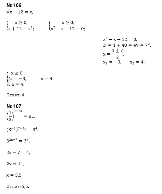
Помогите, пожалуйста, найти корни...
Условие
wirma
2020-03-30 20:49:22
Помогите, пожалуйста, найти корни уравнений.
математика 10-11 класс
495
Решение
u821511235
2020-03-30 21:39:57
★
Написать комментарий
Меню
Решим всё
Найти задачу
Категории
Статьи
Тесты
Архив задач
Присоединяйся в ВК