Задать свой вопрос
*более 50 000 пользователей получили ответ на «Решим всё»
Задача 45632
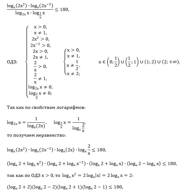
Решите неравенство log_x(2x^2) ....
Условие
holyharr
2020-03-30 13:42:11
Решите неравенство
log_x(2x^2) . log_x(2x^(-2))/(log(2x) x . log(2/x) x) <= 180.
математика 10-11 класс
836
Решение
u821511235
2020-03-30 20:55:31
★
Написать комментарий
Меню
Решим всё
Найти задачу
Категории
Статьи
Тесты
Архив задач
Присоединяйся в ВК