Задать свой вопрос   *более 50 000 пользователей получили ответ на «Решим всё»

Задача 4561 Даны три сообщающихся сосуда с площадью...

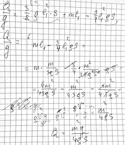
Условие

Даны три сообщающихся сосуда с площадью поперечного сечения S = 0.005 м^2, заполненные ртутью до некоторой высоты. В средний помещают гирю массой m = 2 кг на невесомой площадочке, заполняющей всё сечение сосуда. В начальный момент зазора между площадочкой и ртутью нет, а начальная скорость гири с площадочкой равна нулю. Определите, какое количество теплоты выделилось до установления равновесия. Ответ дайте в единицах СИ и округлите до сотых.
Плотность ртути p = 13600 кг/м^3

физика 10-11 класс 10329

Решение

Вопросы к решению (5)

Написать комментарий

Меню

Присоединяйся в ВК