Задать свой вопрос   *более 50 000 пользователей получили ответ на «Решим всё»

Задача 45589 Четыре числа образуют возрастающую...

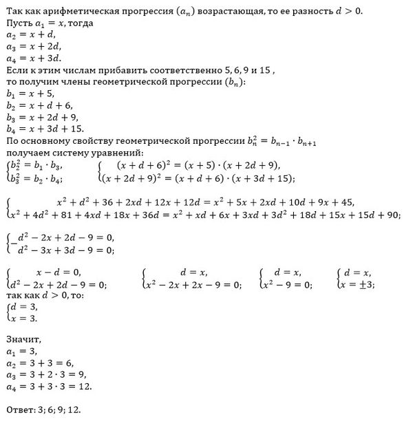
Условие

Четыре числа образуют возрастающую арифметическую прогрессию. Если к ним прибавить соответственно 5,6,9 и 15, то полученные числа составят геометрическую прогрессию. Найти исходные числа.

математика 10-11 класс 1983

Решение

a; a+d;a+2d;a+3d - Четыре числа образуют арифметическую прогрессию
Возрастающую арифметическую прогрессию значит d >0

a+5; a+d+6; a+2d+9;a+3d+15 - составят геометрическую прогрессию

Основное свойство геометрической прогрессии:

[b]b_(n)=sqrt(b_(n-1)*b_(n+1))[/b] ⇒ b^2_(n)=(b_(n-1)*b_(n+1)

Составляем систему уравнений:

{(a+d+6)^2=(a+5)*(a+2d+9) ⇒ d^2+2d-2a-9=0 ⇒ d^2-9=2a-2d
{(a+2d+9)^2=(a+d+6)*(a+3d+15) ⇒ d^2+3d-3a-9=0 ⇒ d^2-9=3a-3d

Приравниваем правые части: 2a-2d=3a-3d ⇒ a=d
d^2-9=0
d= ± 3
d=-3 не удовл. требованию возрастающей прогрессии

a=d=3


получаем ответ 3;6;9;12

Все решения

Написать комментарий

Меню

Присоединяйся в ВК