Задать свой вопрос
*более 50 000 пользователей получили ответ на «Решим всё»
Задача 45580
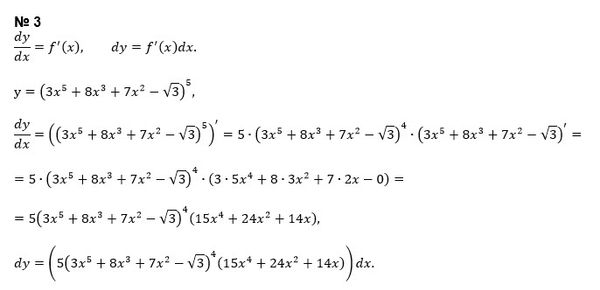
Помогите решить 3...
Условие
vk226434676
2020-03-30 07:41:19
Помогите решить 3
математика
553
Решение
u821511235
2020-03-30 09:25:39
★
Написать комментарий
Меню
Решим всё
Найти задачу
Категории
Статьи
Тесты
Архив задач
Присоединяйся в ВК