Задать свой вопрос
*более 50 000 пользователей получили ответ на «Решим всё»
Задача 45579
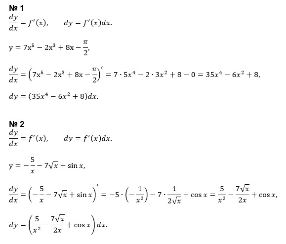
Помогите решить 1 и 2...
Условие
vk226434676
2020-03-30 07:38:55
Помогите решить 1 и 2
математика
560
Решение
u821511235
2020-03-30 09:26:22
★
Написать комментарий
Меню
Решим всё
Найти задачу
Категории
Статьи
Тесты
Архив задач
Присоединяйся в ВК