Задать свой вопрос
*более 50 000 пользователей получили ответ на «Решим всё»
Задача 45563
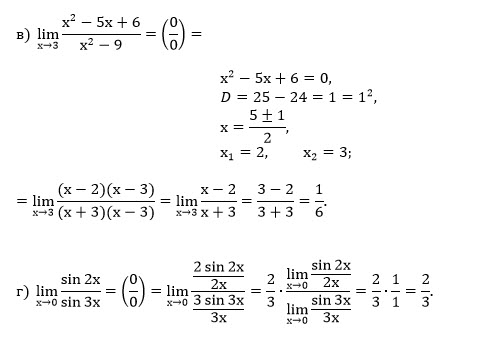
b) lim (as x -> 3) (x^2 - 5x + 6) / (x^2...
Условие
vk306899767
2020-03-29 17:16:59
b) lim (as x -> 3) (x^2 - 5x + 6) / (x^2 - 9)
r) lim (as x -> 0) (sin 2x) / (sin 3x)
математика 10-11 класс
495
Решение
u821511235
2020-03-30 10:10:58
★
Написать комментарий
Меню
Решим всё
Найти задачу
Категории
Статьи
Тесты
Архив задач
Присоединяйся в ВК