Задать свой вопрос
*более 50 000 пользователей получили ответ на «Решим всё»
Задача 45562
...
Условие
vk306899767
2020-03-29 17:16:35
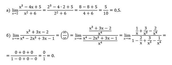
a) lim x→2 x^2 - 4x + 5 / x^2 + 6
б) lim x→∞ x^9 + 3x - 2 / x^2 - 2x^3 + 3x - 1
математика 10-11 класс
511
Решение
u821511235
2020-03-30 10:22:56
★
Написать комментарий
Меню
Решим всё
Найти задачу
Категории
Статьи
Тесты
Архив задач
Присоединяйся в ВК