Задать свой вопрос
*более 50 000 пользователей получили ответ на «Решим всё»
Задача 45561
b) lim (x-5) / (x^2-25) c) lim x / sin...
Условие
vk306899767
2020-03-29 17:16:18
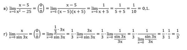
b) lim (x-5) / (x^2-25)
c) lim x / sin 3x
математика 10-11 класс
574
Решение
u821511235
2020-03-30 10:31:13
★
Написать комментарий
Меню
Решим всё
Найти задачу
Категории
Статьи
Тесты
Архив задач
Присоединяйся в ВК