Задать свой вопрос   *более 50 000 пользователей получили ответ на «Решим всё»

Задача 45504 [block]а) Решите уравнение...

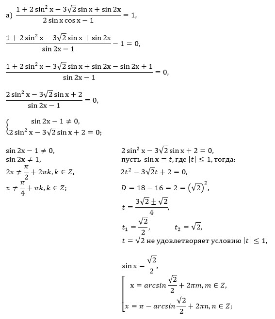
Условие

[block]а) Решите уравнение (1+2sin^2x-3sqrt(2)sinx+sin2x)/(2sinxcosx-1) = 1[/block]

б) Укажите корни этого уравнения, принадлежащие отрезку [-Pi; Pi/2]

математика 10-11 класс 17199

Решение

Написать комментарий

Меню

Присоединяйся в ВК