
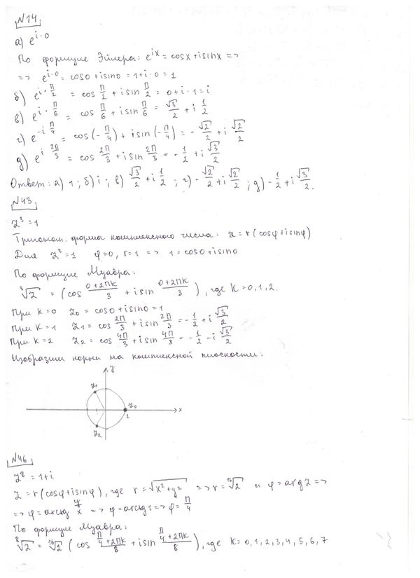
первый корень
z_(o)=1
точка с координатами (1;0) на единичной окружности.
Второй корень на луче в (π/4)
третий на луче в в (π/4)
и т.д.
Все корни отстоят друг от друга на 45 °
46.
Радиус окружности у Вас верно найден.
Первая точка z_(o) на луче в (π/32)
Все остальные отличаются друг от друга на (π/4)
