Задать свой вопрос   *более 50 000 пользователей получили ответ на «Решим всё»

Задача 4535 Найдите все значения а, при каждом из...

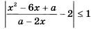
Условие

Найдите все значения а, при каждом из которых неравенство |(x^2-6x+a)/(a-2x) - 2| меньше или равно 1 справедливо при всех значениях x из отрезка [0;1]

математика 10-11 класс 3872

Решение

Написать комментарий

Меню

Присоединяйся в ВК