Задать свой вопрос
*более 50 000 пользователей получили ответ на «Решим всё»
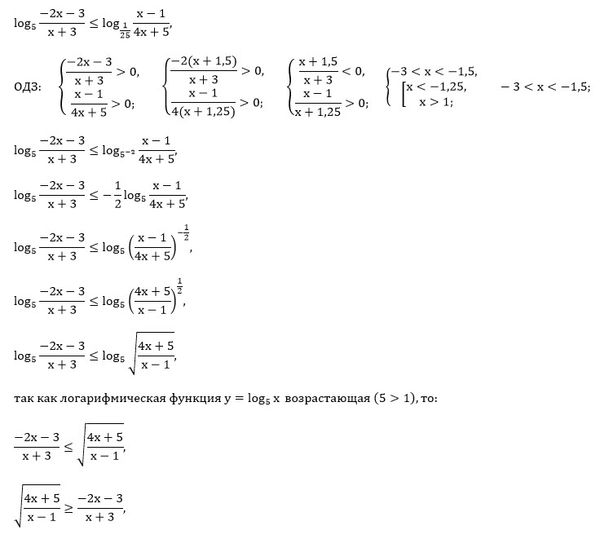
Задача 45309
...
Условие
tanyas2002
2020-03-25 07:29:09
Решить неравенство log5(-2x-3/x+3) ≤ log1/25(x-1/4x+5)
математика 10-11 класс
713
Решение
u821511235
2020-03-25 08:32:13
★
Написать комментарий
Меню
Решим всё
Найти задачу
Категории
Статьи
Тесты
Архив задач
Присоединяйся в ВК