Задать свой вопрос
*более 50 000 пользователей получили ответ на «Решим всё»
Задача 45308
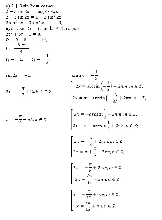
Решить уравнение 2+3sin2x=cos4x и...
Условие
tanyas2002
2020-03-25 07:18:35
Решить уравнение 2+3sin2x=cos4x и указать корни принадлежащие промежутку [-90°;180°]
математика 10-11 класс
656
Решение
u821511235
2020-03-25 07:53:31
★
Написать комментарий
Меню
Решим всё
Найти задачу
Категории
Статьи
Тесты
Архив задач
Присоединяйся в ВК