Задать свой вопрос   *более 50 000 пользователей получили ответ на «Решим всё»

Задача 45274 Найти 2a вектор + 3b вектор, если вектор...

Условие

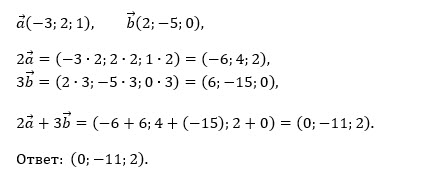
Найти 2a вектор + 3b вектор, если вектор a (-3; 2; 1), вектор b (2; -5; 0)

математика 6546

Решение

Все решения

2vector{a}+3vector{b}=(2*(-3)+3*2;2*2+3*(-5);2*1+3*0)=(0;-11;2)

Написать комментарий

Меню

Присоединяйся в ВК