Задать свой вопрос   *более 50 000 пользователей получили ответ на «Решим всё»

Задача 45262 Дано: точки A (4; -2; 5), B (-8; 6; 3),...

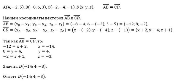
Условие

Дано:
точки A (4; -2; 5), B (-8; 6; 3), C (-2; -4; -1), D (x; y; z).
Найти:
x, y, z, если вектор AB = вектору CD

математика 781

Решение

Написать комментарий

Меню

Присоединяйся в ВК