Задать свой вопрос
*более 50 000 пользователей получили ответ на «Решим всё»
Задача 45223
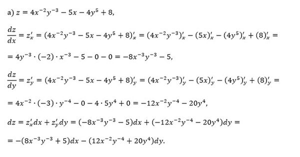
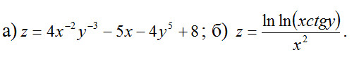
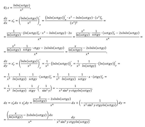
Найти частные производные и полный ...
Условие
sombo
2020-03-22 23:58:54
Найти частные производные и полный дифференциал dz функции
математика ВУЗ
1334
Решение
u821511235
2020-03-23 07:30:32
★
Написать комментарий
Меню
Решим всё
Найти задачу
Категории
Статьи
Тесты
Архив задач
Присоединяйся в ВК