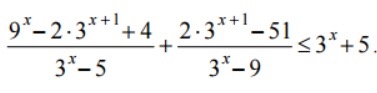
[m]3^{x}=t[/m]
[m]9^{x}=t^2[/m]
[m]3^{x+1}=3^{x}\cdot 3=3t[/m]
Получим:
[m]\frac{t^2-6t+4}{t-5}+\frac{6t-51}{t-9} ≤ t+5[/m]
[m]\frac{t^2-6t+4}{t-5}+\frac{6t-51}{t-9} -( t+5) ≤0 [/m]
Приводим к общему знаменателю:
[m]\frac{(t^2-6t+4)\cdot (t-9)+(6t-51)\cdot(t-5)-(t+5)\cdot (t-5)\cdot(t-9)}{(t-5)(t-9)} ≤ 0[/m]
Раскрываем скобки:
[m]\frac{t^3-6t^2+4t-9t^2+54t-36+6t^2-51t-30t+255-t^3+25t+9t^2-225}{(t-5)(t-9)} ≤ 0[/m]
[m]\frac{2t-6}{(t-5)(t-9)} ≤ 0[/m]
Решаем[i] методом интервалов[/i]:
__-__ [3] ___+___ (5) __-___ (9) __+__
[m]t ≤ 3[/m] или [m] 5 < t < 9[/m]
[i]Обратная замена:[/i]
[m]3^{x} ≤ 3 [/m] или [m] 5 < 3^{x} < 3^2[/m]
[m]3^{x} ≤ 3[/m] или [m]3^{log_{3}5} < 3^{x} < 3^2[/m]
Показательная функция с основанием 3 возрастающая,
большему значению функции соответствует большее значение аргумента:
[m]x ≤ 1[/m] или [m] log_{3}5 < x < 2[/m]
О т в е т.[b] (- ∞ ;1] U (log_(3)5;2)[/b]
