Задать свой вопрос
*более 50 000 пользователей получили ответ на «Решим всё»
Задача 45183
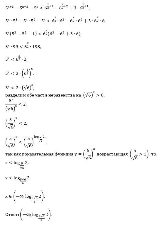
5^(x+3) - 5^(x+2) - 5^x < 6^(x/2 + 3) -...
Условие
vk437860234
2020-03-21 05:46:17
5^(x+3) - 5^(x+2) - 5^x < 6^(x/2 + 3) - 6^(x/2 + 2) + 3 * 6^(x/2 + 1).
математика 10-11 класс
1825
Решение
u821511235
2020-03-21 06:54:04
★
Написать комментарий
Категория
ЕГЭ по Математике (проф.)
задание 15 (неравенство)
Меню
Решим всё
Найти задачу
Категории
Статьи
Тесты
Архив задач
Присоединяйся в ВК